독일의 젊은 물리학자 하이젠베르크가 새로운 형식의 역학에 대한 논문을 발표한 뒤 약 3달 후, 바다 건너 영국의 젊은 물리학자 폴 디랙(Paul Dirac)은 하이젠베르크의 이론을 한 층 더 발전 시킨 연구 결과를 내 놓습니다. (참고로 하이젠베르크는1901년생, 당시 만 24살이었고, 디랙은 하이젠베르크 보다 1년 늦게 1902년에 태어나 당시 만 23살이었습니다) 디랙의 논문은 1926년 영국의 학술지 Proc. Roy. Soc. A에 출간되었고, 논문의 제목은 The fundamental equatiions fo quantum mechanics 입니다. 제목에서 부터 뭔가 포스를 느낄 수 있는데요, fundamental 과 같은 어마어마한 단어를 시작으로 하는 논문은 실로 향후 양자역학에 어마어마한 영향을 끼치는 논문이었습니다.
디랙은 이 논문에서 양자역학에서 두 물리량의 곱의 차이(the difference between the Heisenberg products of two quantum quantities)와 고전역학에서 두 물리량의 곱의 차이(their Poisson bracket expression)가 어떠한 관련이 있는지를 발견하였습니다. 결론을 미리 말씀드리면, 양자역학에서 두 물리량의 곱의 차이는 고전역학에서 친숙하게 접할 수 있는 푸아송 괄호에 $\frac{ih}{2\pi}$를 곱한값이 라는게 디랙의 주장입니다. 이를 수학적으로 간략하게 표현하면
$$[x,y]_{\text{quantum}} = \frac{ih}{2 \pi} [x,y]_{\text{classical}}$$
입니다. 여기서 $[x,y]_{\text{quantum}}$은 하이젠베르크가 주장한 두 물리량을 곱하는 방식이며, $[x,y]_{\text{classical}}$로 쓴 것은 고전역학의 푸아송 괄호(Poisson bracket)입니다. 위상 공간에서 정의된 고전역학적인 두 물리량 $F(q,p), G(q,p)$의 푸아송 괄호의 정의는 아래와 같습니다.
$$[F, G]_{\text{classical}} = \frac{\partial F}{\partial q} \frac{\partial G}{\partial p} - \frac{\partial F}{\partial p} \frac{\partial G}{\partial q}$$
위 식은 자유도가 1인 경우에 대한 가장 간단한 형태의 식이고, 자유도가 커진다면 그에 맞는 표현이 필요합니다. 아랫첨자를 보통Poission 혹은 PB(Poisson Bracket의 이니셜) 로 쓰지만, quantum 이란 단어와의 대응을 위하여 그냥 classical이라고 썼습니다. (푸아송 괄호와 이에 대한 고전역학적 의미에 대해서 익숙하지 않은 분이라면, 이에 대한 이전 포스팅들을 먼저 이해하고 이 글의 뒷 부분을 읽는 것이 좋습니다)
그러면 이제, 디랙이 어떠한 과정으로 위와 같은 관계식을 얻어 냈는지 디랙의 1925년 논문을 살펴 보도록 하겠습니다.
하이젠베르크가 그의 연구를 발표할 당시, 디랙 역시 아직 박사학위를 받지 않은 대학원 연구생이었습니다. 그의 지도 교수는 R. H. 파울러(Fowler)로, 파울러는 디랙에게 하이젠베르크의 최신 연구 결과를 전해주며 이에 대해서 연구해 볼 것을 권유 받았다고 합니다. 디랙은 대단히 똑똑한 학생이었고, 논문을 전달 받은지 채 몇 달만에 하이젠베르크의 논문이 핵심을 간파하고, 보다 더 일반적인 방법으로 하이젠베르크의 방법론을 확장시킵니다.
디랙의 논문은 총 6개의 챕터로 구성돼 있는데요,
(1) Introduction
(2) Quantum algebra
(3) Quantum differentiation
(4) The quantum conditions
(5) Properties of the quantum Poisson bracket expression
(6) The stationary states
와 같습니다. 여기서 (1), (2), (3)은 하이젠베르크의 결과를 요약하고, 보다 더 체계적인 방식으로 양자역학적인 물리량을 수학적으로 정의합니다. 한 가지 놀라웠던 사실은 디랙의 논문에도 행렬(matrix)라는 단어가 등장하지 않는다는 것 입니다. 평소에 행렬을 알고 있었다면, 하이젠베르크의 연산자 곱셈 법칙이 당연히 행렬의 곱이라는 것을 알아챘을 것이고, 논문에 당연히 행렬에 대해서 기술했었을 것 입니다. 그러나 행렬에 대한 언급이 하나도 없는 것을 봐서는, 디랙 역시 그 당시에는 행렬에 대해서 모르고 있던게 아니었는지 추측하게 됩니다.
(4)에서 $[x,y]_{\text{quantum}} = \frac{ih}{2 \pi} [x,y]_{\text{classical}}$를 유도합니다. 그리고 (5)에서는 양자역학적인 $[x,y]$가 만족해야하는 성질을 고전역학적인 $[x,y]$가 만족해야하는 성질과 빗대어 설명합니다. (6)에서는 일반적인 양자상태가 만족해야하는 조건에 대해서 간략이 언급합니다. 이 포스팅에서는 (4), (5)에 집중하여 논문을 설명하도록 하겠습니다.
(4) The quantum conditions
보통 보어-좀머펠트 양자화 조건으로 일컬어지는 고전 양자화 조건으로 $J=nh$ 가 있습니다. 여기서 $n$은 정수입니다. 주기적인 운동을 하는 입자의 한 주기 동안의 액션(action)이 플랑크 상수의 정수배가 되어야 한다는 것 입니다. 이 양자화 조건은 보어가 원자 모델을 연구할 때 고안한 양자화 조건을 좀 더 일반화 한 것으로 하이젠베르크 역시 받아들인 조건입니다. 위 조건에서 $n = \frac{J}{h}$ 이므로, $n$이 들어와야 할 자리에는 $J$를 대신하여 쓸 수 있습니다. 그리고 $J$를 띄엄 띄엄한 특정한 값을 갖는($h$의 정수배) 값이 아닌 연속적인 값을 갖는 실수처럼 취급하곤 합니다.

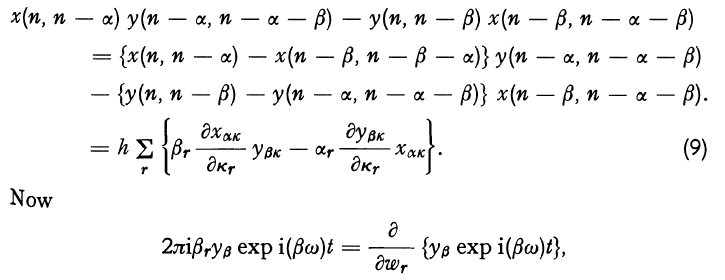
$p,q$의 함수인 일반적인 물리량 $x,y$에 대해서 $x,y$의 곱이 하이젠베르크의 곱셈 공식을 만족한다면, 식 (9) 처럼 쓸 수 있습니다. 첫 번째 등호는 $x(n - \beta, n - \beta - \alpha)y(n-\alpha, n-\alpha - \beta)$를 더하고 뺀 다음에 정리한 것 입니다. 두 번째 등호에서 세 번째 등호로 넘어 가는 과정에서는
$$f(n) - f(n-\beta) \approx \beta \frac{df}{dn}$$
를 $x(n, n-\alpha)$와 $y(n, n-\beta)$의 첫 번째 인수에 적용하였습니다. 그리고 앞선 문단에서 설명한 것과 같이 $n$이 와야할 자리에 $\frac{J}{h}$를 쓰고 정리하였습니다. 위 캡쳐한 수식에서 $\kappa$를 $J$로 생각하면 됩니다. 위 식에서 $r$에 대한 설명은 없는데, degree of freedom을 나타내는 인덱스인것 같습니다. 편의상 1차원만 생각한다면 $r = 1$로 놓고 시그마 기호를 무시할 수 있습니다.
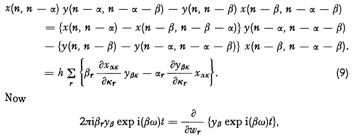
식 (9)의 중괄호 안에 첫 번째 항을 보면 $x$의 $J$ 미분에 대한 식이 있고, $\beta y$는 미분에 대한 식이 아닙니다. 두 번째 항을 보면 반대로 $\alpha x$는 미분에 대한 식이 아니고, $y$는 $J$에 대한 미분식이 됩니다. 디랙은 $\beta y, \alpha x$를 미분에 대한식으로 바꿔서 쓰는데
$$2 \pi i \beta y e^{i \beta \omega t} = \frac{\partial}{\partial \theta} {y e^{i \beta \omega t}}$$
를 이용합니다. 수식 편집의 편의상 논문에 나와 있는 특수 형태의 $\omega$ 를 $\theta$로 표현하였습니다. 이로 부터 $\beta y$와 $\alpha x$를 $\theta$에 대한 미분식으로 바꾸어 놓을 수 있고, 그 값을 식 (9)에 대입하면,
$$xy - yx = -\frac{ih}{2 \pi} \Big\{ \frac{\partial x}{\partial J} \frac{\partial y}{\partial \theta} - \frac{\partial y}{\partial J} \frac{\partial x}{\partial \omega} \Big\}$$
를 얻게 됩니다.

고전역학을 열심히 공부한 분이라면, 위 식의 괄호 안의 값이 다름 아닌 Action-Angle 변수를 이용한 $x, y$의 푸아송 괄로라는 것을 알 것 입니다. 푸아송 괄호의 값은 정준변환에 대해서 그 값이 변하지 않는데, 액션과 행글은 정준관계에 있는 변수 입니다. 액선과 앵글의 순서에 맞게 두 항의 순서를 바꾸고 대신 마이너를 추가하면,
$$xy - yx = [x, y]_{\text{quantum}} = \frac{ih}{2 \pi} [x, y]_{\text{classical}}$$
이 됩니다!
위 식을 유도하는 과정에서 $x, y$에 대해서 특별한 가정을 하지 않았습니다. 단지 두 값이 하이젠베르크가 고안한 곱셈의 법칙을 만족한다고만 하였습니다. $x, y$는 위치와 운동량이 될 수 도 있고, 그 밖에 위치와 운동량을 함수로 하는 일반적인 물리량이 될 수 도 있습니다. 디랙은 일반적인 양자역학적인 물리량 사이의 곱셈에 대한 교환법칙을 유도한 것 입니다. 그리고 그 결과는 놀랍게도! 고전역학에서 쉽게 볼 수 있는 두 물리량 사이의 푸아송 괄호에 $\frac{ih}{2 \pi} = i \hbar$를 곱한 값 입니다. 양자역학의 교환연산자가 고전역학의 푸아송 괄호로 표현될 수 있으니, 양자역학의 교환연산자간 연산을 고전역학의 푸아송 괄호로 대신할 수 있고, 이는 곧 고전역학의 수학적 구조와 양자역학의 수학적 구조가 (적어도 특정한 측면에서는) 같음을 확인할 수 있습니다.
이를 근거로 하여, 디랙은 양자역학과 고전역학이 같은 형태의 운동방정식을 만족하는 것은 $h \rightarrow 0$ 에서 고전역학에서 처럼 $xy - yx = 0$이 되기 때문이 아니라, 고전역학과 양자역학이 동일한 수학적 구조를 갖고 있기 때문이라고 설명합니다.
(5) Properties of the quantum Poisson bracket expression
이 챕터에서는 푸아송 괄호와 양자역학적인 교환 연산자가 공히 만족하는 성질에 대해서 논의 합니다. 그 중에서 가장 유명한 등식은 자코비 항등식(Jacobi Identity)라고 알려진
$$[[x,y],z] + [[y,z],x] + [[z,x],y] = 0$$
입니다. 위 항등식은 $[x,y]$가 푸아송 괄호이든, 아니면 양자역학적인 교환연산자이든 성립합니다. 이 식을 이용하면 복잡한 계산을 쉽게 계산할 수 있다든가, 시스템의 보존량을 쉽게 찾을 수 있습니다.
고전역학의 푸아송 괄호에서 한 물리량이 해밀토니안이면, 푸아송 괄호는 물리량의 시간에 대한 미분이 됩니다. 즉
$$\dot{A} = [A, H]_{\text{classical}}$$
가 성립합니다. 이 식은 푸아송 괄호를 이용한 고전역학 표현의 핵심이라고 할 수 있는 식 입니다. 앞서 본 것 처럼 고전역학의 구조와 양자역학의 구조가 "교환 연산자 -> 푸아송 괄호" 를 통해 전환 될 수 있다면, 양자역학에서도 임의의 물리량(연산자) $A$에 대해서 (비례상수를 잘 맞춰주면)
$$\dot{A} = [A, H]_{\text{quantum}}$$
가 성립해야 할 것 입니다. 실제로 양자역학에서 위 관계식이 성립합니다. 지난 포스팅인 막스 보른과 파스쿠알 요르당의 논문에서도 같은 결과가 유도되었습니다.
디랙은 보존량에 대해서도 짧게 언급을 하고 있는데요, 만일 어떠한 물리량 $A$가 $[A, H] = 0$을 만족한다면 이 물리량은 보존량임을 강조합니다. 또한 $A_1, A_2$가 보존량이라고 한다면, 자코비 항등식에 의해 $[A_1, A_2]$ 역시 보존되는 양임을 친절하게 설명합니다.
디랙은 단 몇 달만에 하이젠베르크의 논문을 이해하고, 이를 발전 시켰습니다. 현대에는 디랙이 발견한 양자역학적 연산자와 고전역학의 푸아송 괄호의 관계를 정준양자화(canonical quantization)이라고하며 양자역학의 공리로 받아 들이고 있습니다. 디랙이 이 관계식을 하이젠베르크의 가정으로 부터 유도하였지만, 디랙의 결과가 수학적으로 보다 더 깔끔하고, 일반적인 경우에 대해서 적용할 수 있기 때문입니다.
이후 양자역학에 대해서 잘 아시는 분은 아시겠지만, 디랙은 상대론적 효과를 고려한 양자역학 방정식을 만들어 냅니다. 이 방정식은 이후에 디랙의 이름을 따서 디랙 방정식으로 불립니다. 디랙 방정식을 통해 자연스럽게 "스핀" 이라는 물리량이 나오게 됩니다. 또한 디랙은 이 방정식의 해의 해석을 통해서 전자의 반입자인 양전자의 존재를 예견하고, 이는 실험으로 입증 됩니다. 디랙 방정식은 단순히 상대론적 효과를 고려한 슈뢰딩거 방정식 수준에 머무는 것이 아니라 보다 일반적인 양자장론의 탄생을 이끌어 냈습니다.
'물리학' 카테고리의 다른 글
| 행렬역학과 파동역학이 동치임을 밝힌 슈뢰딩거 (0) | 2022.03.20 |
|---|---|
| 수소 원자의 선 스펙트럼 문제를 행렬 역학의 방법으로 풀어낸 볼프강 파울리 (0) | 2022.03.16 |
| 막스 보른과 파스쿠알 요르당에 의한 행렬역학의 정립 (0) | 2022.03.13 |
| 하이젠베르크는 어떻게 행렬역학을 유도하였나? (양자역학이 시작된 하이젠베르크의 1925년 논문 이해하기) (1) | 2022.03.08 |
| 투사체 궤적의 포락선(envelope function) 구하기 (0) | 2022.02.11 |