미국 시장은 우리나라 시각으로 밤 10시 30분 혹은 11시 30분에 시작 됩니다. 미국 시장의 등락에 따라서 그 다음날 우리나라 주식 시장의 등락을 예상하는 경우가 매우 많습니다. 간밤에 미국 시장이 폭락한다면 한국 시장의 폭락을 걱정하고, 반대로 미국 시장이 폭등한다면 한국 시장의 폭등을 기대하는 경우가 많습니다. 그러나 보통은 예상대로 되지 않을 때가 많습니다. 특히 최근에는 미국 시장이 폭등을 하더라도 그 다음날 한국 시장은 횡보를 하는 경우가 많은데, 그럴 때 마다 한국 시장의 투자자들은 "선반영" 이라는 마법의 단어를 통해 자조 섞인 푸념을 하곤합니다.
여기서 궁금증은 "정말로 미국 시장의 등락과 그 다음날 한국 시장의 등락은 상관관계(커플링)가 있느냐?" 입니다. 쉽게 생각할 때는 미국장의 등락이 한국장의 등락과 깊은 상관이 있을 것 같습니다. 미국 시장은 전 세계 경제에 영향을 크게 끼치고, 특히 한국과 같이 미국 의존도가 큰 경제구조 하에서는 미국 주식 시장의 등락은 당연히 한국 주식 시장의 등락에 영향을 줄 것 입니다. 실질적인 영향은 크지 않다고 하더라도, 투자자들이 "영향이 크다" 라고 생각하면 영향이 커집니다. 주가는 투자자의 매매에 따라서 결정되고, 투자자의 매매는 투자자의 기대에 따라서 결정됩니다. 그래서 많은 투자자들이 "미국 시장의 등락이 그 다음날 한국 시장의 등락을 결정한다" 라고 생각한다면 그 성향이 실제로 시장에 반영될 것 입니다.
하지만, 앞서 언급한대로 미국장이 호조세를 보인다고 하더라도, 한국장은 횡보를 하며 "박스피"권에 갖혀 있거나, 심지어 하락을 하는 경우도 많습니다. 매일 매일 나스닥이 신고점을 찍었다는 기사가 나오곤 하지만, 코스피는 전고점을 회복하기는 커녕 여전히 하락세에 있는 경우가 많습니다. 이런 "실제" 상황을 보면 미국 시장의 등락과 한국 시장의 등락은 아무런 상관 관계가 없는 듯 보입니다.
이번 포스팅에서는 과거 미국 주식 시장(나스닥)과 한국 주식 시장(코스피)의 인덱스를 비교해 보고, 이를 통해서 "나스닥의 등락과 그 다음날 코스피의 등락이 상관 관계에 있는지?"를 확인해 보도록 하겠습니다.

위 그래프는 관심 기간 동안 나스닥과 코스피 주가 지수 입니다. 2011.01.01의 지수를 1.0 으로 정규화 하였습니다. 위 그래프에서 볼 수 있듯, 나스닥은 이 기간 동안 몇 번의 등락 (미중 무역 분쟁, 코로나 팬더믹)이 있긴 했지만, 지속적으로 전고점을 돌파하며 우상향 했습니다. 그에 반해... 코스피는 2011년 부터 2017년까지 긴 박스권을 형성했습니다. 2017년 부터 반도체 호조세 덕택에 우상향 했지만, 미중 무역 분쟁으로 상승분을 모두 반납했고, 코로나 팬더믹을 겪으면서 상승하였지만, 다시 하락하는 분위기 입니다.
이 그래프만 보더라도 "나스닥과 코스피의 상관 관계는 거의 없다"는 결론이 바로 나옵니다. 심적으로는 강한 상관 관계가 있을 것 같지만, 사실 데이터로 보면 아무런 상관 관계가 없는게 맞습니다. 상관 관계가 있다면, 나스닥이 무려 6배가 되는 동안 코스피는 단 1.5배가 된 것을 설명할 수 없습니다. 특이 2011.01.01~2017.01.01 이 6년의 기간 동안 코스피는 2배로 상승했지만, 코스피는 주가가 변동하지 않았습니다. 상관 관계가 없을 보여주는 가장 직접적이고 직관적인 데이터 입니다.

위 그래프는 (Day의 나스닥 지수 변동, Day+1의 코스피 지수 변동)을 Scatter Plot의 형태로 나타낸 것 입니다. 축에 있는 값에다 $\times 100$을 해 주면 퍼센트로 환산 됩니다. 만일 간밤의 나스닥의 등락이 그 다음날 아침 코스피의 등락에 영향을 준다면 위 그래프의 파란색 점들은 $x=y$ 상에 존재해야 합니다. 하지만, 위에서 볼 수 있는 바와 같이, 실제 데이터인 파란색 점들은 원점을 기준으로 방향성 없이 둥글게 분포하고 있습니다. 실제로 계산해 본 피어슨 상관 계수는 0.02 입니다. 이 정도면 "상관성이 없다"라고 결론 내릴 수 있습니다. 나스닥과 코스피가 커플링이 있다고 생각하신 분들도 많을 텐데... 심증으로는 그렇지만, 물증으로는 전혀 그렇지 않음을 위 그래프와 피어슨 상관 계수를 통해 알 수 있습니다.
따라서 코스피의 투자자들은 간밤에 나스닥이 오른다고 해서 그 다음날 코스피가 오를 것이라고 생각하며 설레발 칠 필요가 없고, 나스닥이 내린다고 해서 그 다음날 코스피가 내일 것 같아서 걱정할 필요도 없는 것 입니다. 간밤에 나스닥 지수가 어찌 됐든, 코스피는 이와는 아무런 상관이 없이 제 갈 길 (주로 횡보)를 가게 됩니다.
위 그래프를 조금 더 단순하게 보고 싶은 경우, 등락의 크기는 무시하고 상승/하락만 고려할 수 도 있습니다. 나스닥과 코스피의 상승/하락 조합에 따른 빈도를 헤아려 보면
나스닥 상승 -> 코스닥 상승 : 30.3%
나스닥 상승 -> 코스피 하락 : 26.2%
나스닥 하락 -> 코스피 상승 : 22.4%
나스닥 하락 -> 코스피 하락 : 21.1%
가 됩니다. 나스닥과 코스피가 함께 움직인 경우는 전체의 51.4%, 나스닥과 코스피가 반대로 움직인 경우는 48.6%가 됩니다. 함께 움직인 경우가 1.8%P가 많은데, 날짜 수로 따지면 11년의 기간 중에 단 70일 입니다. 1년으로 따지면 6일인데, 이 정도면 충분히 무시할 수 있는 정도이며, 50 대 50 이라고 할 수 있습니다.
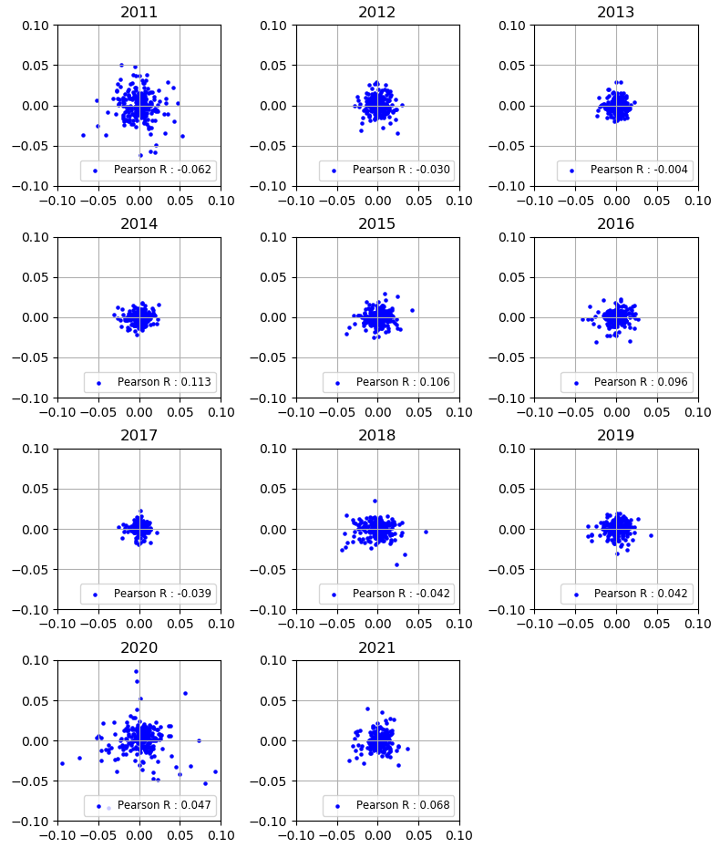
위 데이터를 보고도 아직까지도 심적으로 "커플링은 강하게 있다"라고 생각하고 계실 수 도 있습니다. "예전에는 커플링이 있었다" 라고도 생각하실 수 도 있습니다. 그래서 위 그래프를 년도 별로 따로 구하고 년도 별로 피어슨 상관 계수를 구할 수 도 있습니다. 결론은 아래와 같습니다.

년도 별 상관 계수의 유의미한 차이는 없습니다. 상관 계수가 가장 컸던 해는 2014년인데, 이때의 상관 계수 0.11 (11%) 역시 큰 값은 아닙니다.
나스닥과 코스피는 상관이 없는 정도가 아니라 완전히 반대의 횡보를 보인적도 있습니다. 2011, 2012, 2013, 2017, 2018년도는 상관 계수가 음수 입니다. 물론 절대값 자체가 크지 않아서 의미가 있는 정도는 아니지만, 굳이 표현한다면 위 적어도 위 년도에는 나스닥의 움직임과 코스피의 움직임이 반대였었습니다. 나스닥이 오르면 코스피가 내리고, 나스닥이 오르면 코스피가 내린 것이죠.
한국 주식 시장과 일본 주식 시장은 관련이 있을까요? 코스피 지수와 일본 니케이 지수(Nikkei 225) 와의 상관 관계를 동일한 방식으로 분석해 보겠습니다.

위와 같은 기간 동안 코스피와 니케이 지수의 변화 입니다. 니케이는 그래도 그 기간 동안 2배는 올랐네요. 2016년 이후 부터의 등락을 보면 코스피와 니케이가 거의 유사하다는 것을 볼 수 있습니다. 물론 코스피가 더 횡보 혹은 하락을 많이 합니다.

상관 관계를 계산하기 위한 Scatter Plot을 그리면 위와 같습니다. 하나의 점은 특정 날짜의 코스피와 니케이의 등락을 나타냅니다. 역시 위와 같이 축에 있는 숫자에 $\times 100$을 해주면 변화량을 퍼센트로 환산할 수 있습니다. 상관 계수는 0.56, 즉 56%나 됩니다. 이 정도면 거의 "같게 움직인다" 라고도 할 수 있습니다. 저는 경제나 주식에 대한 실제적인 지식이 없기 때문에, 무엇이 한일 주식 시장의 커플링을 강하게 만들었는지는 모르겠으나, 어쨌든 결론을 놓고 본다면 한일 주식 시장의 등락은 서로 함께 함을 확인할 수 있습니다.
결론
코스피는 나스닥과 상관 없이 움직입니다. 코스피 투자자의 경우, 밤잠을 설치며 나스닥의 등락에 관심을 가질 필요가 하나도 없습니다. 그냥 푹~ 주무셔도 됩니다.
'주식_정량적_분석' 카테고리의 다른 글
| 주식의 정량적 분석 (8) : 2022년도 미친듯한 나스낙의 변동성 (0) | 2022.05.21 |
|---|---|
| 주식의 정량적 분석 (7) : 미국 주식 투자, 답은 그냥 TQQQ? (1) | 2021.12.05 |
| 주식의 정량적 분석 (5) : 원금을 회복하기 위한 존버의 시간은 얼마나? (0) | 2021.09.04 |
| 주식의 정량적 분석 (4) : 이 주식이 올랐을 때, 저 주식은 오를까? 내릴까?, 주식 종목의 상관 계수 (0) | 2021.08.24 |
| 주식의 정량적 분석 (3) : 내가 그 주식을 꾸준히 샀더라면... - 미국 주요 주식의 5년간 수익률 (0) | 2021.08.11 |